Topic 2: Functions

Exponent-Log Functions

IB Math Analysis & Approaches SL Exam Questionbank

– 
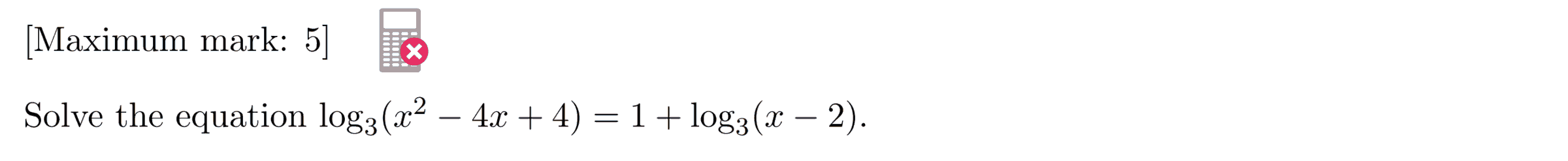
Question 1
IB Math AA SL Exam Questionbank → Exponent-Log Functions
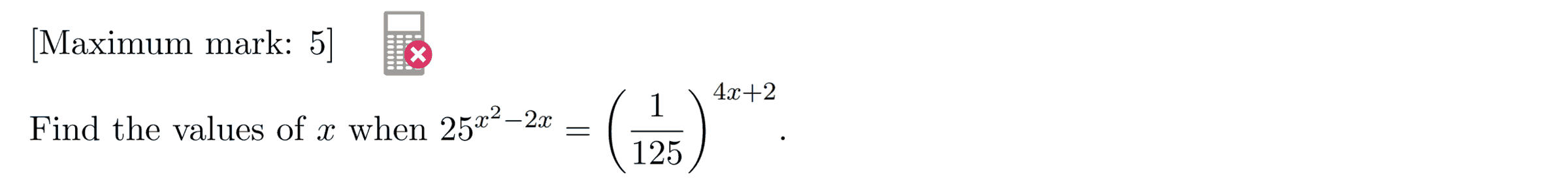
Question 2
IB Math AA SL Exam Questionbank → Exponent-Log Functions
Question 3
IB Math AA SL Exam Questionbank → Exponent-Log Functions
Question 4
IB Math AA SL Exam Questionbank → Exponent-Log Functions
Question 5
IB Math AA SL Exam Questionbank → Exponent-Log Functions
Question 6
IB Math AA SL Exam Questionbank → Exponent-Log Functions
Question 7
IB Math AA SL Exam Questionbank → Exponent-Log Functions
Question 8
IB Math AA SL Exam Questionbank → Exponent-Log Functions
Question 9
IB Math AA SL Exam Questionbank → Exponent-Log Functions
Question 10
IB Math AA SL Exam Questionbank → Exponent-Log Functions
Question 11
IB Math AA SL Exam Questionbank → Exponent-Log Functions
Question 12
IB Math AA SL Exam Questionbank → Exponent-Log Functions
Question 13
IB Math AA SL Exam Questionbank → Exponent-Log Functions
Question 14
IB Math AA SL Exam Questionbank → Exponent-Log Functions
Question 15
IB Math AA SL Exam Questionbank → Exponent-Log Functions
Question 16
IB Math AA SL Exam Questionbank → Exponent-Log Functions
Question 17
IB Math AA SL Exam Questionbank → Exponent-Log Functions
Question 18
IB Math AA SL Exam Questionbank → Exponent-Log Functions
Question 19
IB Math AA SL Exam Questionbank → Exponent-Log Functions