Topic 1: Number & Algebra

Exponents & Logs

IB Math Analysis & Approaches HL Exam Questionbank

– 
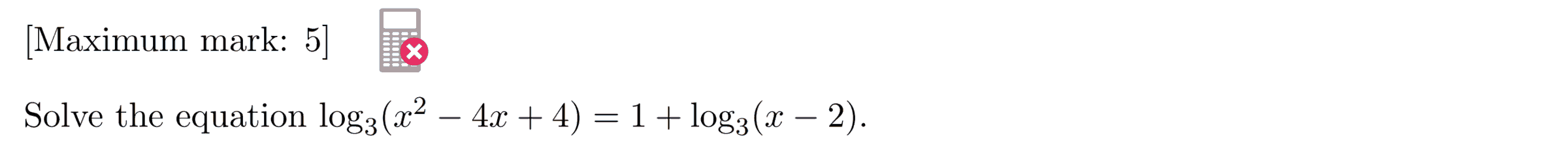
Question 1
IB Math AA HL Exam Questionbank → Exponents & Logs
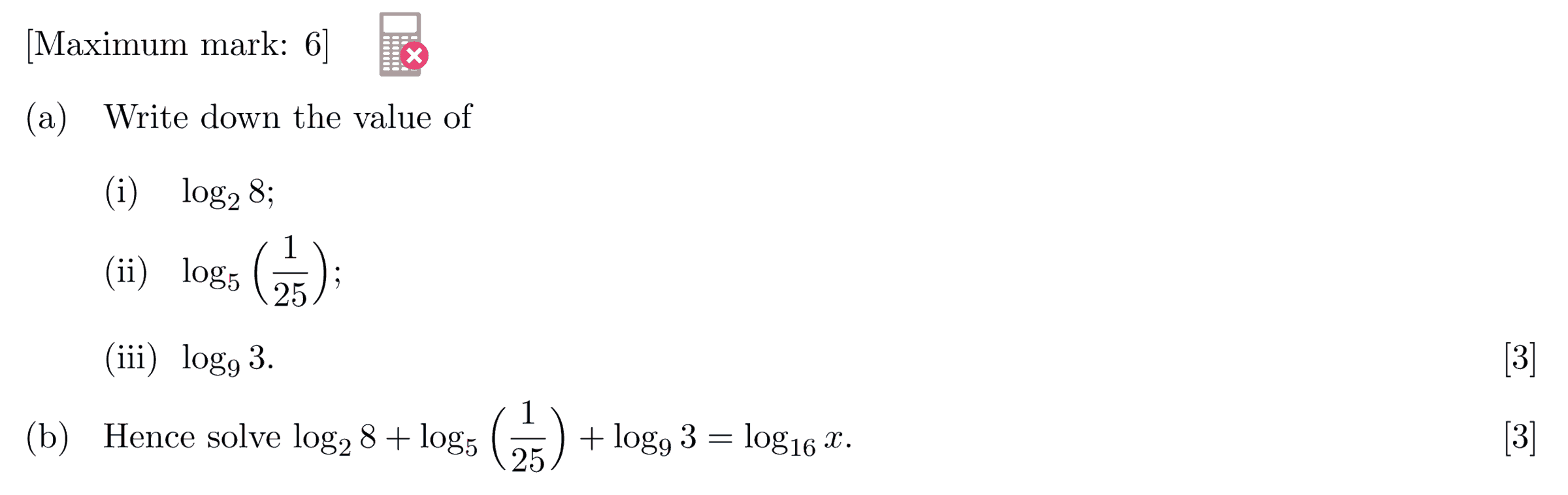
Question 2
IB Math AA HL Exam Questionbank → Exponents & Logs
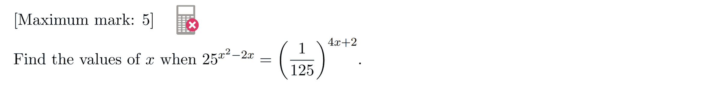
Question 3
IB Math AA HL Exam Questionbank → Exponents & Logs
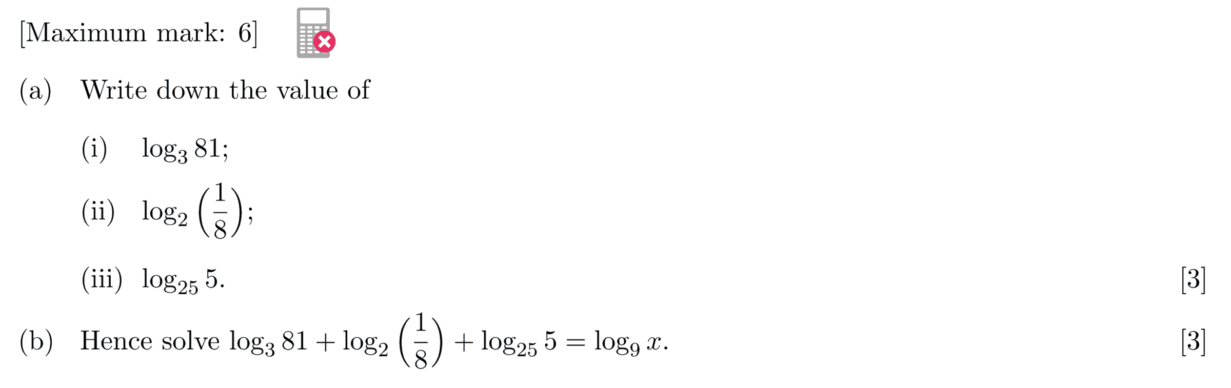
Question 4
IB Math AA HL Exam Questionbank → Exponents & Logs
Question 5
IB Math AA HL Exam Questionbank → Exponents & Logs
Question 6
IB Math AA HL Exam Questionbank → Exponents & Logs
Question 7
IB Math AA HL Exam Questionbank → Exponents & Logs
Question 8
IB Math AA HL Exam Questionbank → Exponents & Logs
Question 9
IB Math AA HL Exam Questionbank → Exponents & Logs
Question 10
IB Math AA HL Exam Questionbank → Exponents & Logs
Question 11
IB Math AA HL Exam Questionbank → Exponents & Logs
Question 12
IB Math AA HL Exam Questionbank → Exponents & Logs
Question 13
IB Math AA HL Exam Questionbank → Exponents & Logs
Question 14
IB Math AA HL Exam Questionbank → Exponents & Logs
Question 15
IB Math AA HL Exam Questionbank → Exponents & Logs
Question 16
IB Math AA HL Exam Questionbank → Exponents & Logs
Question 17
IB Math AA HL Exam Questionbank → Exponents & Logs
Question 18
IB Math AA HL Exam Questionbank → Exponents & Logs
Question 19
IB Math AA HL Exam Questionbank → Exponents & Logs
Question 20
IB Math AA HL Exam Questionbank → Exponents & Logs
Question 21
IB Math AA HL Exam Questionbank → Exponents & Logs
Question 22
IB Math AA HL Exam Questionbank → Exponents & Logs
Question 23
IB Math AA HL Exam Questionbank → Exponents & Logs
Question 24
IB Math AA HL Exam Questionbank → Exponents & Logs
Question 25
IB Math AA HL Exam Questionbank → Exponents & Logs
Question 26
IB Math AA HL Exam Questionbank → Exponents & Logs
Question 27
IB Math AA HL Exam Questionbank → Exponents & Logs
Question 28
IB Math AA HL Exam Questionbank → Exponents & Logs
Question 29
IB Math AA HL Exam Questionbank → Exponents & Logs
Question 30
IB Math AA HL Exam Questionbank → Exponents & Logs
Question 31
IB Math AA HL Exam Questionbank → Exponents & Logs
Question 32
IB Math AA HL Exam Questionbank → Exponents & Logs
Question 33
IB Math AA HL Exam Questionbank → Exponents & Logs
Question 34
IB Math AA HL Exam Questionbank → Exponents & Logs
Question 35
IB Math AA HL Exam Questionbank → Exponents & Logs
Question 36
IB Math AA HL Exam Questionbank → Exponents & Logs
Question 37
IB Math AA HL Exam Questionbank → Exponents & Logs
Question 38
IB Math AA HL Exam Questionbank → Exponents & Logs
Question 39
IB Math AA HL Exam Questionbank → Exponents & Logs
Question 40
IB Math AA HL Exam Questionbank → Exponents & Logs
Question 41
IB Math AA HL Exam Questionbank → Exponents & Logs
Question 42
IB Math AA HL Exam Questionbank → Exponents & Logs
Question 43
IB Math AA HL Exam Questionbank → Exponents & Logs
Question 44
IB Math AA HL Exam Questionbank → Exponents & Logs
Question 45
IB Math AA HL Exam Questionbank → Exponents & Logs
Question 46
IB Math AA HL Exam Questionbank → Exponents & Logs
Question 47
IB Math AA HL Exam Questionbank → Exponents & Logs
Question 48
IB Math AA HL Exam Questionbank → Exponents & Logs
Question 49
IB Math AA HL Exam Questionbank → Exponents & Logs
Question 50
IB Math AA HL Exam Questionbank → Exponents & Logs
Question 51
IB Math AA HL Exam Questionbank → Exponents & Logs
Question 52
IB Math AA HL Exam Questionbank → Exponents & Logs
Question 53
IB Math AA HL Exam Questionbank → Exponents & Logs
Question 54
IB Math AA HL Exam Questionbank → Exponents & Logs
Question 55
IB Math AA HL Exam Questionbank → Exponents & Logs
Question 56
IB Math AA HL Exam Questionbank → Exponents & Logs